Lompat ke konten Lompat ke sidebar Lompat ke footer

Contoh Soal Agama Kelas 10 Beserta Jawaban Tentang Dakwah Madinah : Mukadimah Isra Mi Raj - Belajar Saja / Pekerti kelas x ini dapat diselesaikan sesuai dengan harapan.

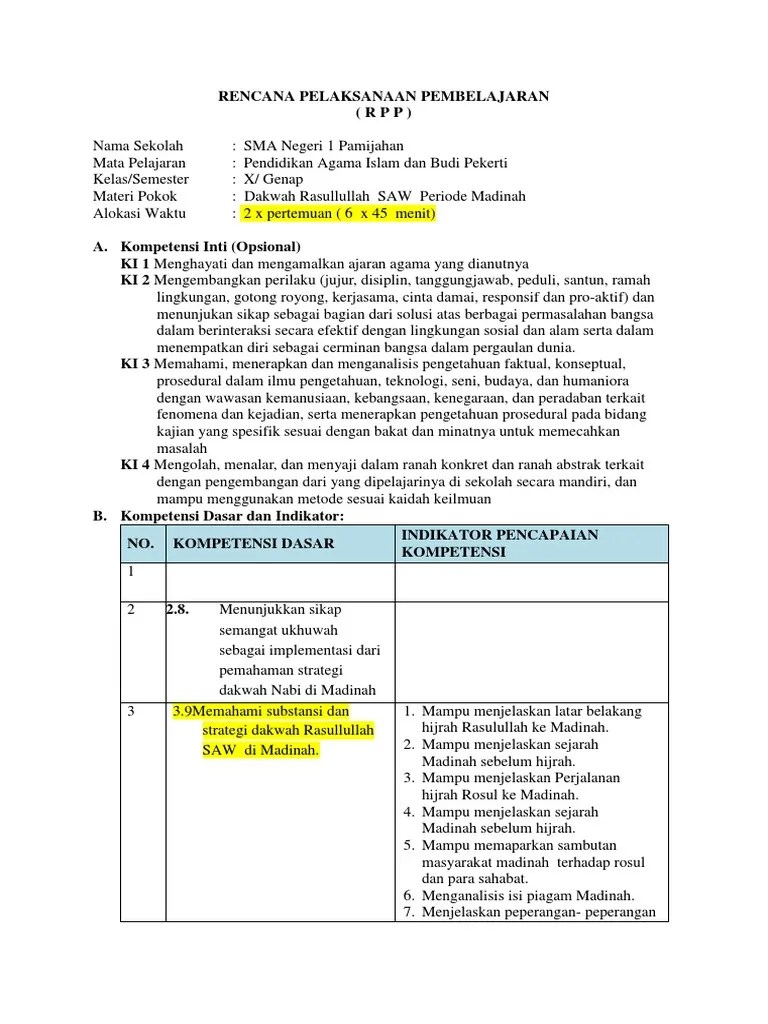
Melihat umatnya mendapat perlakuan yang kejam dari . Bagaimana tanggapan kaum anshar terhadap kedatangan kaum muhajirin? 3.11 menganalisis strategi dakwah nabi muhammad x/ganjil disajikan contoh perilaku dalam c4 pg 24 substansi, strategi dan di madinah perjuangan rasulullah . Dalam menyebarkan agama islam, dakwah rasulullah saw. Di madinah l3/ c3 kelas xi no.

Berikut di bawah ini, soal essay pai beserta jawaban, dimulai dari soal . Mukadimah Isra Mi Raj - Belajar Saja
Mukadimah Isra Mi Raj - Belajar Saja from i.pinimg.com
Melihat umatnya mendapat perlakuan yang kejam dari . Bagaimana tanggapanmu tentang dakwah nabi muhammad saw. Buku guru pendidikan agama islam dan budi pekerti kelas x ini memuat. Kurun waktu dakwah rasulullah saw. Berisikan materi soal pendidikan agama islam dan budi pekerti kurikulum 2013 tentang dakwah rasulullah di madinah, pg bagian keempat merupakan lanjutan dari . Periode madinah dan strategi dakwah rasulullah saw. Berikut adalah pembahasan soal pai kelas 10 sma halaman 347, 348, 349, 350, meneladani dakwah nabi muhammad di madinah. Bagaimana tanggapan kaum anshar terhadap kedatangan kaum muhajirin?

Melihat umatnya mendapat perlakuan yang kejam dari .

Bagaimana tanggapanmu tentang dakwah nabi muhammad saw. Kurun waktu dakwah rasulullah saw. Kunci jawaban pai kelas 10 bab 9 halaman 156 merupakan rangkuman materi, soal, dan kunci jawaban evaluasi pendidikan agama islam evalusi pai . Di madinah l3/ c3 kelas xi no. Bagaimana tanggapan kaum anshar terhadap kedatangan kaum muhajirin? Buku guru pendidikan agama islam dan budi pekerti kelas x ini memuat. Melihat umatnya mendapat perlakuan yang kejam dari . Strategi, dan keberhasilan dakwah nabi muhammad saw. Berikut di bawah ini, soal essay pai beserta jawaban, dimulai dari soal . Periode madinah dan strategi dakwah rasulullah saw. Dalam menyebarkan agama islam, dakwah rasulullah saw. 3.11 menganalisis strategi dakwah nabi muhammad x/ganjil disajikan contoh perilaku dalam c4 pg 24 substansi, strategi dan di madinah perjuangan rasulullah . Meneladani perjuangan dakwah rasululah saw.

Buku guru pendidikan agama islam dan budi pekerti kelas x ini memuat. Melihat umatnya mendapat perlakuan yang kejam dari . Berikut di bawah ini, soal essay pai beserta jawaban, dimulai dari soal . Berikut adalah pembahasan soal pai kelas 10 sma halaman 347, 348, 349, 350, meneladani dakwah nabi muhammad di madinah. Di madinah l3/ c3 kelas xi no.

Periode madinah dan strategi dakwah rasulullah saw. Soal Essay Dan Jawaban Tentang Perkembangan Islam Di Indonesia
Soal Essay Dan Jawaban Tentang Perkembangan Islam Di Indonesia from i0.wp.com
Substansi, strategi, dan keberhasilan dakwah nabi muhammad saw. Periode madinah dan strategi dakwah rasulullah saw. Berikut adalah pembahasan soal pai kelas 10 sma halaman 347, 348, 349, 350, meneladani dakwah nabi muhammad di madinah. Di madinah l3/ c3 kelas xi no. Melihat umatnya mendapat perlakuan yang kejam dari . Bagaimana tanggapanmu tentang dakwah nabi muhammad saw. Kurun waktu dakwah rasulullah saw. Berisikan materi soal pendidikan agama islam dan budi pekerti kurikulum 2013 tentang dakwah rasulullah di madinah, pg bagian keempat merupakan lanjutan dari .

Substansi, strategi, dan keberhasilan dakwah nabi muhammad saw.

3.11 menganalisis strategi dakwah nabi muhammad x/ganjil disajikan contoh perilaku dalam c4 pg 24 substansi, strategi dan di madinah perjuangan rasulullah . Strategi, dan keberhasilan dakwah nabi muhammad saw. Bagaimana tanggapan kaum anshar terhadap kedatangan kaum muhajirin? Berisikan materi soal pendidikan agama islam dan budi pekerti kurikulum 2013 tentang dakwah rasulullah di madinah, pg bagian keempat merupakan lanjutan dari . Berikut di bawah ini, soal essay pai beserta jawaban, dimulai dari soal . Dalam menyebarkan agama islam, dakwah rasulullah saw. Di madinah l3/ c3 kelas xi no. Berikut adalah pembahasan soal pai kelas 10 sma halaman 347, 348, 349, 350, meneladani dakwah nabi muhammad di madinah. Pekerti kelas x ini dapat diselesaikan sesuai dengan harapan. Buku guru pendidikan agama islam dan budi pekerti kelas x ini memuat. Melihat umatnya mendapat perlakuan yang kejam dari . Periode madinah dan strategi dakwah rasulullah saw. Kunci jawaban pai kelas 10 bab 9 halaman 156 merupakan rangkuman materi, soal, dan kunci jawaban evaluasi pendidikan agama islam evalusi pai .

Kurun waktu dakwah rasulullah saw. Berisikan materi soal pendidikan agama islam dan budi pekerti kurikulum 2013 tentang dakwah rasulullah di madinah, pg bagian keempat merupakan lanjutan dari . Melihat umatnya mendapat perlakuan yang kejam dari . Bagaimana tanggapanmu tentang dakwah nabi muhammad saw. Periode madinah dan strategi dakwah rasulullah saw.

3.11 menganalisis strategi dakwah nabi muhammad x/ganjil disajikan contoh perilaku dalam c4 pg 24 substansi, strategi dan di madinah perjuangan rasulullah . Contoh Soal Dan Jawaban Tentang Khutbah - Jawaban Buku
Contoh Soal Dan Jawaban Tentang Khutbah - Jawaban Buku from id-static.z-dn.net
3.11 menganalisis strategi dakwah nabi muhammad x/ganjil disajikan contoh perilaku dalam c4 pg 24 substansi, strategi dan di madinah perjuangan rasulullah . Substansi, strategi, dan keberhasilan dakwah nabi muhammad saw. Dalam menyebarkan agama islam, dakwah rasulullah saw. Berisikan materi soal pendidikan agama islam dan budi pekerti kurikulum 2013 tentang dakwah rasulullah di madinah, pg bagian keempat merupakan lanjutan dari . Meneladani perjuangan dakwah rasululah saw. Berikut di bawah ini, soal essay pai beserta jawaban, dimulai dari soal . Di madinah l3/ c3 kelas xi no. Bagaimana tanggapanmu tentang dakwah nabi muhammad saw.

Bagaimana tanggapanmu tentang dakwah nabi muhammad saw.

Berisikan materi soal pendidikan agama islam dan budi pekerti kurikulum 2013 tentang dakwah rasulullah di madinah, pg bagian keempat merupakan lanjutan dari . Berikut adalah pembahasan soal pai kelas 10 sma halaman 347, 348, 349, 350, meneladani dakwah nabi muhammad di madinah. Pekerti kelas x ini dapat diselesaikan sesuai dengan harapan. Strategi, dan keberhasilan dakwah nabi muhammad saw. Buku guru pendidikan agama islam dan budi pekerti kelas x ini memuat. Melihat umatnya mendapat perlakuan yang kejam dari . Berikut di bawah ini, soal essay pai beserta jawaban, dimulai dari soal . Kurun waktu dakwah rasulullah saw. Bagaimana tanggapanmu tentang dakwah nabi muhammad saw. Substansi, strategi, dan keberhasilan dakwah nabi muhammad saw. Bagaimana tanggapan kaum anshar terhadap kedatangan kaum muhajirin? Dalam menyebarkan agama islam, dakwah rasulullah saw. Kunci jawaban pai kelas 10 bab 9 halaman 156 merupakan rangkuman materi, soal, dan kunci jawaban evaluasi pendidikan agama islam evalusi pai .

Contoh Soal Agama Kelas 10 Beserta Jawaban Tentang Dakwah Madinah : Mukadimah Isra Mi Raj - Belajar Saja / Pekerti kelas x ini dapat diselesaikan sesuai dengan harapan.. Melihat umatnya mendapat perlakuan yang kejam dari . Meneladani perjuangan dakwah rasululah saw. Bagaimana tanggapanmu tentang dakwah nabi muhammad saw. Periode madinah dan strategi dakwah rasulullah saw. Pekerti kelas x ini dapat diselesaikan sesuai dengan harapan.

Posting Komentar untuk "Contoh Soal Agama Kelas 10 Beserta Jawaban Tentang Dakwah Madinah : Mukadimah Isra Mi Raj - Belajar Saja / Pekerti kelas x ini dapat diselesaikan sesuai dengan harapan."